Developer Reference for Intel® oneAPI Math Kernel Library for Fortran

ID 766686
Date 3/31/2025
Public

A newer version of this document is available. Customers should click here to go to the newest version.

Document Table of Contents

vRngLaplace

Generates random numbers with Laplace distribution.

Syntax

status = vsrnglaplace( method, stream, n, r, a, beta )

status = vdrnglaplace( method, stream, n, r, a, beta )

Include Files

  • mkl.fi, mkl_vsl.f90

Input Parameters

Name

Type

Description

method

INTEGER, INTENT(IN)

Generation method. The specific values are as follows:

VSL_RNG_METHOD_LAPLACE_ICDF

Inverse cumulative distribution function method

stream

TYPE (VSL_STREAM_STATE), INTENT(IN)

Descriptor of the stream state structure.

n

INTEGER, INTENT(IN)

Number of random values to be generated

a

DOUBLE PRECISION for vdrnglaplace

REAL(KIND=4), INTENT(IN) for vsrnglaplace

REAL(KIND=8), INTENT(IN) for vdrnglaplace

Mean value a

beta

DOUBLE PRECISION for vdrnglaplace

REAL(KIND=4), INTENT(IN) for vsrnglaplace

REAL(KIND=8), INTENT(IN) for vdrnglaplace

Scalefactor β.

Output Parameters

Name

Type

Description

r

DOUBLE PRECISION for vdrnglaplace

REAL(KIND=4), INTENT(OUT) for vsrnglaplace

REAL(KIND=8), INTENT(OUT) for vdrnglaplace

Vector of n Laplace distributed random numbers

Description

The vRngLaplace function generates random numbers with Laplace distribution with mean value (or average) a and scalefactor β, where a, βR ; β > 0. The scalefactor value determines the standard deviation as

Equation

The probability density function is given by:


Equation

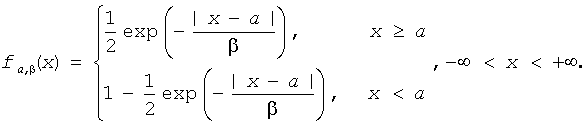
The cumulative distribution function is as follows:


Equation

Product and Performance Information

Performance varies by use, configuration and other factors. Learn more at www.Intel.com/PerformanceIndex.

Notice revision #20201201

Return Values

VSL_ERROR_OK, VSL_STATUS_OK

Indicates no error, execution is successful.

VSL_ERROR_NULL_PTR

stream is a NULL pointer.

VSL_RNG_ERROR_BAD_STREAM

stream is not a valid random stream.

VSL_RNG_ERROR_BAD_UPDATE

Callback function for an abstract BRNG returns an invalid number of updated entries in a buffer, that is, < 0 or > nmax.

VSL_RNG_ERROR_NO_NUMBERS

Callback function for an abstract BRNG returns 0 as the number of updated entries in a buffer.

VSL_RNG_ERROR_QRNG_PERIOD_ELAPSED

Period of the generator has been exceeded.

VSL_RNG_ERROR_NONDETERM_NRETRIES_EXCEEDED

Number of retries to generate a random number by using non-deterministic random number generator exceeds threshold.

VSL_RNG_ERROR_ARS5_NOT_SUPPORTED

ARS-5 random number generator is not supported on the CPU running the application.