Developer Reference for Intel® oneAPI Math Kernel Library for Fortran

ID 766686
Date 3/31/2025
Public

A newer version of this document is available. Customers should click here to go to the newest version.

Document Table of Contents

vRngGaussian

Generates normally distributed random numbers.

Syntax

status = vsrnggaussian( method, stream, n, r, a, sigma )

status = vdrnggaussian( method, stream, n, r, a, sigma )

Include Files

  • mkl.fi, mkl_vsl.f90

Description

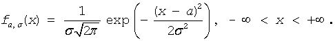
The vRngGaussian function generates random numbers with normal (Gaussian) distribution with mean value a and standard deviation σ, where

					a, σ
					
					R ; σ > 0.

The probability density function is given by:


Equation

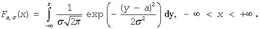
The cumulative distribution function is as follows:


Equation

The cumulative distribution function Fa,σ(x) can be expressed in terms of standard normal distribution Φ(x) as

				F
				
					a,σ
				(x) = Φ((x - a)/σ)

Product and Performance Information

Performance varies by use, configuration and other factors. Learn more at www.Intel.com/PerformanceIndex.

Notice revision #20201201

Input Parameters

Name

Type

Description

method

INTEGER, INTENT(IN)

Generation method. The specific values are as follows:

								VSL_RNG_METHOD_GAUSSIAN_BOXMULLER
							
								VSL_RNG_METHOD_GAUSSIAN_BOXMULLER2
							
								VSL_RNG_METHOD_GAUSSIAN_ICDF
							
See brief description of the methods BOXMULLER, BOXMULLER2, and ICDF in Table "Values of <method> in method parameter"

stream

TYPE (VSL_STREAM_STATE), INTENT(IN)

Descriptor of the stream state structure

n

INTEGER, INTENT(IN)

Number of random values to be generated.

a

DOUBLE PRECISION for vdrnggaussian

REAL (KIND=4), INTENT(IN) for vsrnggaussian

REAL (KIND=8), INTENT(IN) for vdrnggaussian

Mean value a.

sigma

DOUBLE PRECISION for vdrnggaussian

REAL (KIND=4), INTENT(IN) for vsrnggaussian

REAL (KIND=8), INTENT(IN) for vdrnggaussian

Standard deviation σ.

Output Parameters

Name

Type

Description

r

DOUBLE PRECISION for vdrnggaussian

REAL (KIND=4), INTENT(OUT) for vsrnggaussian

REAL (KIND=8), INTENT(OUT) for vdrnggaussian

Vector of n normally distributed random numbers.

Return Values

VSL_ERROR_OK, VSL_STATUS_OK

Indicates no error, execution is successful.

VSL_ERROR_NULL_PTR

stream is a NULL pointer.

VSL_RNG_ERROR_BAD_STREAM

stream is not a valid random stream.

VSL_RNG_ERROR_BAD_UPDATE

Callback function for an abstract BRNG returns an invalid number of updated entries in a buffer, that is, < 0 or > nmax.

VSL_RNG_ERROR_NO_NUMBERS

Callback function for an abstract BRNG returns 0 as the number of updated entries in a buffer.

VSL_RNG_ERROR_QRNG_PERIOD_ELAPSED

Period of the generator has been exceeded.

VSL_RNG_ERROR_NONDETERM_NRETRIES_EXCEEDED

Number of retries to generate a random number by using non-deterministic random number generator exceeds threshold.

VSL_RNG_ERROR_ARS5_NOT_SUPPORTED

ARS-5 random number generator is not supported on the CPU running the application.